
フェルたん
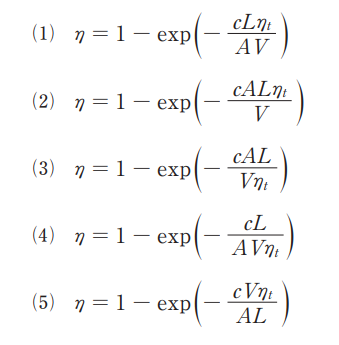
ばいじん・粉じん特論には、厄介な計算問題があります(電卓要)。
計算にハマって時間が足りなくなることも…
本番では、まず暗記系の問題を済ませてから計算問題に取り組むことをお勧めします!
ばいじん・粉じん特論

フェルたん
気軽にやってみて下さいね!
Let’s try!
ばいじん・粉じん特論 令和7年度(2025年度)試験問題
「 ばいじん・粉じん特論」はこれで決まり!
リンク

フェルたん
お疲れ様でしたー!
初めは分からないことだらけで挫けそうになりますよね?
それでも続けて下さい。毎日5分でもOK!
少しずつ分かってくるとだんだん楽しくなってきますよ!
その領域に達するまでひたすら繰り返すのみ!

たまお
公害防止管理者に合格するために!

最短かつ効率的に合格するためには、公式テキストと公式過去問集は最低限買っておくことをお勧めします。
理由は以下の通り。
新・公害防止の技術と法規(公式テキスト)
試験問題は全て公式テキストから出ると言われています!つまり、これを丸暗記すれば満点合格できちゃいます。(世の中そんなに甘くないですがw)
最新版
リンク
正解とヒント(公式過去問集)
公式過去問集です。(過去5年分収録)
解説がかなり詳しく丁寧なので、参考書としても十分です。分からないところは公式テキストに戻って深掘りできるようになっているので、公式テキストと合わせて勉強すると効率的です。出題傾向・関連問題が参照できるのも嬉しいところです。
最新版
リンク
\他のテキストも気になる方はこちら/
試験勉強お疲れ様です♡
当サイトでは、公害防止管理者を目指す貴方のために様々な情報を展開しています。

フェルたん
合格に向けて、以下のリンクをガンガン活用して下さい!
\当サイト人気No.1/
最後までお付き合いありがとうございます♡


-160x90.jpg)

コメント